1.618Φブックマーカークリップは、手帳や本などに挟んでどこにでも持ち運べて、
のぞき込めばすぐに『黄金比』を見つけることが出来るブックマーカークリップです。

1.618Φブックマーカークリップがあれば、あなたは歴史的な建物や美術品、植物など様々な美しいものに出会ったとき、いつでもサッと取り出して『黄金比』のデザインを身近に感じる事ができます。


『黄金比』として知られる1.618φは、長い間、人間が最も美しいと感じる比率として、様々なデザインに利用されてきました。また、自然界にも数多く存在しています。
この比率は、木の上の葉の枚数から貝殻の形まで、至る所で見つける事ができます。
これは数の連続であるフィボナッチ数列に由来しています。

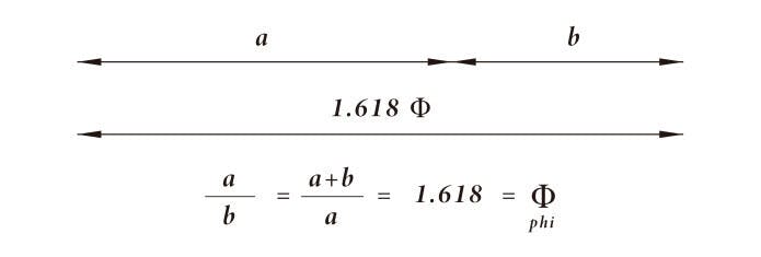
黄金比は、線が2つに分割され、『長い部分(a)を短い部分(b)』で除算したものが、『(a)+(b)を(a)』で除算した合計と等しく、両方とも1.618に等しい場合に成り立ちます。


簡単に言うと、2本の線があるとき、「1本の線の長さが1mで、もう1本の線の長さが1.618m」のとき=「1:1.168」のとき、『2つの線が黄金比の関係にある』ということになります。

黄金比は自然界に存在するだけでなく、建造物、美術品、写真などのさまざまな分野で理想的なデザインを作成するために歴史を通じて数多く使用されてきました。

例えば、「モナリザ」や「パルテノン神殿」など、世界的に有名な作品も、実は黄金比を利用してデザインされているといわれています。

普段の生活の中でも、ブックマーカーとして本や手帳に挟んで、2,400年以上前から受け継がれる『人類が最も美しいと感じるデザイン』をあなたはいつでも持ち歩く事ができます。

観光地で出会う綺麗なお城のデザインにも黄金比を見つける事ができました。
旅行ガイドブックの目的地のページに1.618Φブックマーカークリップを挟んでおいて、サッと取り出してのぞき込めば、「黄金比の美しさを発見する」という新しい旅の体験をすることが出来ます。

1.618Φブックマーカークリップで、身の回りの様々な美しいものを観察することで、あなたの旅行の楽しみは、いつもの何倍にも、何十倍にもなります。


思い出の写真を撮影するときに1.618Φブックマーカークリップをのぞき込んで構図を決めることができます。

人間が最も美しいと感じる黄金比のデザインを持ち運んでいれば、もう写真の撮り方に迷うことはありません。
大切な思い出を写真で振り返った時に、黄金比の美しい写真が旅の思い出をより鮮明に美しく蘇らせてくれます。

黄金比は、芸術的なデザインを作るときに役立つ表現方法です。
必ず守らなければならない堅苦しい決まりではありませんが、デザインに取り入れることで作品全体に調和と自然なエレガンスさをもたらしてくれます。
あなたが美しいものに感動して、その思い出を最も美しく記録したいとき、1.618Φブックマーカークリップをのぞき込めば、もう構図に迷うことはありません。

1.618Φブックマーカークリップがあれば、身の回りの世界が、こんなにも美しかったことに、あなたはすぐに気付くことになるでしょう。

1.618Φブックマーカークリップは、通常のブックマーカーやクリップとは違い、持ち運びに最適なサイズにデザインしました。
長方形【RECTANGLE】、円【CIRCLE】、三角形【TRIANGLE】の3種類で1セットになっています。

これを組み合わせることで、 1.618Φブックマーカークリップはまるで、カメラのグリッド線の様に、美しいものを見つけたときにのぞき込めば、その中に黄金比を見つける事が出来ます。


カラーは2種類を用意しました。お好きなカラーをお選びください。
マットブラック
サンドブラストコーティングを施したステンレススチール製で、白い紙の上で際立って見えます。

サンドブラストコーティングを長持ちさせる為、表面は適度なざらつき感があります。
表面のコーティングが剥がれると、美しいステンレススチールが顔を出します。
ホワイト
真鍮に真っ白なコーティングが施されています。
時間が経つにつれて、白いコーティングは徐々にフェードアウトし、真鍮の色が出てきます。ホワイトからゴールドに変化していく様子を楽しむ事が出来ます。

白いコーティングが薄くなると真鍮の色が徐々に現れます。

地球環境を大切にしたいという思いから、プラスチックを使用しない、紙ベースのパッケージを採用しました。

リサイクル可能な純粋な紙を使用して製品パッケージをデザインしました。
スリーブの中から美しく洗練されたデザインが顔を出します。
技術の進歩をきっかけに、私たちは短い時間でより多くの事が出来る様になりました。
それは、たくさんの時間を節約出来るのと同時に、多忙なライフスタイルで生きていくという事も意味しています。

身の回りにある美しいものに感謝し、ゆっくり見回す時間を取り入れて、人生をより豊に過ごしてみませんか?


1.618ΦブックマーカークリップはYuanDesignStudioのデザイナーであるケンによってデザインされました。これは彼が手掛ける3番目のプロジェクトになります。
■メーカー名:YuanDesignStudio
■実行者紹介
2018年に国内で主に家電商品を扱うECショップを開業。その後、海外の優れた商品を日本に広めたいという思いから、輸入事業を開始。現在は輸入を主とした事業を展開。国内国外を問わず、事業拡大を行っている。1.618Φ黄金比のブックマーカークリップ国内正規代理店。
■スケジュール
☆2021年 4月プロジェクトスタート
☆2021年 6月プロジェクト終了
☆2021年 7月生産開始
☆2021年 8月配送開始予定
■プロジェクトに関する情報
・プロジェクトの属性:輸入商品
・代理店によるサポート:日本語対応、保証期間2週間
・実行者(国):日本
・企画者(国):香港
・製造者(国):香港
・万が一不良品が発生した場合、良品と交換させていただきます。
※交換に係る運送費の片道運賃はサポーター様のご負担とさせていただきます。
※着払いでの返品はお受け出来ませんので予めご了承ください。
商品到着後1週間以内にメッセージでお問い合わせください。
著しく破損、または汚れている場合は交換をお断りする場合があります。
交換商品の手配に輸入を必要とする場合お時間を頂く可能性があります。予めご了承ください。
・事前に充分な生産能力を確保していますが、社会情勢、ご注文状況、使用部材の供給状況、製造工程上の都合、通関審査などの都合により出荷時期、及びリターン配送、到着時期が予定より遅くなる可能性があります。予めご了承の上サポートをお願いいたします。
・皆様のご支援により量産効率が向上した場合、正規販売価格が販売予定価格より下がる可能性もございます。
・デザイン、仕様は改善、改良のため、変更になる可能性もございます。予めご了承ください。
この商品は量産済みではありますが、製品改良などの必要な仕様の変更が発生する可能性があります。
・商品写真はできる限り実物の色に近づけるよう加工しておりますが、お客様のお使いのモニター設定、お部屋の照明等により実際の商品と色味が異なる場合がございます。
・並行輸入品が発生する可能性があります。個人輸入及び販路によっては防ぐことができない可能性がある点、ご了承ください。
・当プロジェクトページの著作権は弊社が有しています。ページの一部および全てを、事前の許諾なく無断で複製、転載、送信、放送、配布、貸与、翻訳、変造することは、著作権侵害となります。 当社および著作権者からの許可無く、掲載内容の一部および全てを複製、転載または配布、印刷など、第三者の利用に供することを禁止します。
■ 特定商取引法に関する記載
◯ 販売事業者名:Wseeds
◯ 事業者の所在地:メールで遅滞なく提供します。
◯ 事業者の連絡先
Tel:メールで遅滞なく提供します。(記録保持の観点からお問い合わせはメールでお願いします。)
メール:yoshiyuki@wseeds.net
※こちらでは当該製品に対するお申し込み、質問等は受け付けておりません。
◯ 商品の販売価格・役務の対価:各リターン記載のとおり
◯ 対価以外に必要な費用:プロジェクトページ、リターンに記載のとおり
◯ 申込期限:当ページ記載のプロジェクト終了期限どおり
◯ 代金の支払時期:
各プロジェクトが募集期間内に成立した時点で、支援金の決済が行われます。コンビニ払いは、コンビニエンスストアで所定の方法により支払いが完了した時点で、決済が行われます。銀行振込(ペイジー払い)は、ATMまたはネットバンキングにて所定の方法により支払いが完了した時点で、決済が行われます。auかんたん決済、ソフトバンクまとめて支払い・ワイモバイルまとめて支払い、ドコモ払い、PayPal、FamiPay、PayPayは、各決済画面により支払いが完了した時点で決済が行われます。
◯ 支払方法:
クレジットカード払い(Visa/Mastercard/JCB/Diners Club/American Express)/コンビニ払い(全国の主要コンビニエンスストア)/銀行振込(銀行ATM・ネットバンキング)/auかんたん決済/ソフトバンクまとめて支払い・ワイモバイルまとめて支払い/ドコモ払い/PayPal/FamiPay/PayPay。お支払いの手数料に関して、コンビニ払いの場合 350円(税込)が、お客様のご負担となります。また、銀行振込ご利用の場合は、所定の振込手数料がお客様のご負担となります。
◯ 商品引き渡しまたは役務提供の時期:各プロジェクトが募集期間内に成立した場合のみ、支援金の決済が行われ、約定されたリターンを得る権利が発生します。なお、リターン毎の発送(履行)時期は各プロジェクトの記載・連絡に準じます。諸般の事情により遅延・遅配が生じる場合は、プロジェクトオーナーより記載・連絡されるものとします。
◯ キャンセル・返品: 利用規約記載のとおり、お客様都合による返品・キャンセルはできませんのでご注意ください。尚、製品到着後に破損や初期不良がある場合には交換させていただきますので「メッセージで意見や問い合わせを送る」から、または納品書記載の連絡先までお問い合わせください。
※上記以外の事項に関しては、お取引の際に請求があれば遅延なく提示いたします。
■当商品は既に香港において量産済みの商品です。ごく稀に初期不良が発生する恐れがあります。
初期不良は発生した場合は、良品と交換させていただきます。
※着払いでの返品はお受け出来ませんので予めご了承ください。
商品到着後2週間以内にメッセージでお問い合わせください。
著しく破損、または汚れている場合は交換をお断りする場合があります。
交換商品の手配に輸入を必要とする場合お時間を頂く可能性があります。予めご了承ください。
■お問い合わせ等対応可能言語について
このプロジェクトのリターン品に関する問い合わせについては、日本語で対応いたします。
■配送に関するリスク
当商品は香港より空路にて輸入を行います。
輸出地は香港、香港から大阪府の倉庫まで手続きを含めて2週間ほどかかる予定です。
倉庫より初期検査後にヤマト運輸又は佐川急便で配送する予定です。
社会情勢、ご注文状況、使用部材の供給状況、製造工程上の都合、通関審査、コロナウィルスのなどの影響により遅延が発生する可能性があります。
■関税について
このプロジェクトにおける支援契約は輸入取引に該当します。
リターン価格には消費税・関税が含まれません。このプロジェクトのリターン品は個人使用の目的においてのみ購入することができます。
関税につきましては輸入者(弊社)が支払いますので、支援者の負担はありません。
詳細は国税庁及び関税ホームページ等でご確認下さい。
https://www.nta.go.jp/taxes/shiraberu/taxanswer/shohi/6563.htm
https://www.customs.go.jp/tetsuzuki/c-answer/imtsukan/1001_jr.htm
https://www.customs.go.jp/tetsuzuki/c-answer/imtsukan/1006_jr.htm
最新の活動報告
もっと見る
【新商品のお知らせ】太陽光で常に満タン充電!普段使いできる防災グッズLight Disc Solar
2021/06/26 08:00弊社の新商品のお知らせこの度、CAMPFIREにて弊社の新プロジェクトがスタートいたしましたので、お知らせをさせていただきます!■太陽光で常に満タン充電!普段使いできる防災グッズLight Disc Solarhttps://camp-fire.jp/projects/view/445816■窓に貼れば、自動で太陽光を内蔵バッテリーに充電し、携帯電話等のUSBデバイスを充電できます。■停電が起きた際、周囲の明るさで明暗を判別し、自動的にライトが光るので家族が安全に行動できます。■災害対策グッズとは思わせないおしゃれなデザインで、日常生活に溶け込みます。☆Light Disc Solar7つの特徴☆1.周囲の明るさで明暗を判別し、自動的にライトが点灯。(ムーンモード)2.窓に貼ることで自動的に太陽光を内部バッテリーに充電。3.内部バッテリーのエネルギーは、携帯電話または他のUSBデバイスの充電に使用可能。4.3WのLEDで停電時も十分に部屋を明るくしてくれます。5.窓に貼る粘着パッドは、再利用可能。(Sticky-Pad)6.内部バッテリーフル充電で、最大12時間点灯可能。7.ケーブルリールで充電コードの収納もすっきり。災害が起こったとき防災グッズを普段の生活に取り入れているかはとても大切です。日常生活の中で災害を考えた生活を送っていれば、あせることなく対応できます。『アレどこにしまったっけ・・・』防災グッズはこうなってしまうことが多いんです。Light Discは普段から窓に貼り付けて充電ができて、部屋のインテリアにもなるオシャレなデザイン。日常生活の中に防災につながるような仕掛けをできるのがLight Disc Solarです。CAMPFIREのクーポン利用でお得に購入可能です!5%OFF!クーポンコード:【cf06】→https://camp-fire.jp/projects/view/445816 もっと見るリターンのお届けに関してのご報告
2021/06/05 16:06こちらの活動報告は支援者限定の公開です。





コメント
もっと見る