>>> クーポンのURLはこちら <<<
※公開日からクーポンリンクが使用できます。




ノートに文字を書くだけで簡単にデジタル化!
ニッチな商品だし、どこまで購入頂けるだろうか・・・
そんな不安な気持ちもありながら始めた第一弾のプロジェクト。
しかし実際にプロジェクトが始まってみると、
瞬く間に驚くほど購入を頂くことができました。
▼ キャップを外すと自動的に専用アプリと接続されます。





DIGIPEN(デジペン)には手書きした内容を撮影するカメラが搭載されており、A5サイズの付属リングノートにDIGIPENで書いた内容を、専用アプリとBluetooth連携するだけでリアルタイムで電子テキスト化出来ます!



書いた文字を付属の布を濡らして擦るだけでノートに書いた文字を消すことができます。何度も書いたり消したりできるので、ノートを無駄に使うことがなく、コスパが良いです。



アプリの音声録音ボタンをクリックまたは、ノートの録音ボタン(●)を押すとボイスメモをとることができます。
聞き取れなかったり、メモが間に合わなかった会話も漏らす心配はありません。
また、録音したデータはメモと同時保存になるため、最強のデジタルメモが完成します!


メモを共有したい場合、1ページを.pdf、.docx、.jpegやMP4としてエクスポートして共有することができます。また、ノート全体を.pdfファイルとしてエクスポートすることも可能です。それだけでなく、Facebook、WhatsApp、X、Instagramなどのソーシャルメディアで共有することもできます。

Image


Word


アプリと連携した内容は、Evernote、OneNoteなどの好みのクラウドストレージに自動的にアップロード可能。
(※ 自動同期対応クラウド:Evernote, OneNote, Dropbox, Google Drive)

資料の捜索に、どれくらい無駄な時間を費やしているか?ところで皆様は、あれ、、、あの資料どこに片付けたっけ?と紙の資料を探して部屋中を探し回った経験はありませんか?
DIGIPENなら、クラウド上に保存した内容は全てアプリから検索可能なので、資料を探して時間を無駄にする心配は要りません!

専用アプリにはOCR機能(光学式文字認識)も搭載されており、紙面上の文字(印字、手書き問わない)をアプリで読み取り、電子テキスト化可能です。
会議の議事録をOCR機能で電子テキスト化出来れば、あとは会議後にスマホやパソコンでラクラク編集。
議事録作成の時間と手間を大幅にカットできちゃいます!

▲「OCR機能」紹介gif 1
印字された文字を撮影した画像の中から読み取りたい範囲を選択し、電子テキスト化しています

▲「OCR機能」紹介gif 2
手書きした文字を、電子テキスト化しています
(今回は日本語を選択していますが、73か国語に対応しています)



DIGIPEN 5.0は、書き込みシステムを内蔵しています。特別に設計されたアルゴリズムと独自のマイクロドットパターン、赤外線カメラを組み合わせて、書いた内容をキャプチャします。カメラは1秒間に200フレーム以上をキャプチャする高い認識速度を持ち、圧力センサーも16,384にアップグレードされ、書くときの圧力にしっかり対応します。


ノートに書いた内容を見返す際、どのノートのどこに書いたか分からなくなり、探すのに手間取った経験はありませんか?
DIGIPEN 5.0ならそんなお悩み解決できます!アプリと連携し保存した内容は、以下2通りの方法で検索できるため、ノートの捜索に無駄な時間を費やしてしまうことはありません!

▼ ノート長押し>選択>タグ設定

▼「①タグ検索機能」紹介gif
登録ノート3つの中から、"タグ検索機能テスト"というタグで検索し、該当する3つのページを見つけています。


▼「②単語検索機能」紹介gif
登録ノート3つの中から、"議事録"という単語を入力して検索し、該当する2つのページを見つけています。


DIGIPEN本体には4MBの内蔵メモリを搭載しており、未連携状態(オフライン)でも「約200ページ分」の内容を保存可能です。
本体に保存した内容は、スマホアプリと同期すればクラウド上に取り込まれ、後から自由に編集可能となります。
万が一、手元にスマホやタブレットが無くてもDIGIPEN本体にいったん保存しておき、後から同期できるため、心配無用です!

DIGIPENは約1時間の充電で6時間の連続使用が可能。終日の外出や会議でもバッテリー切れの心配は無用です。


書いた順に再生!リプレイ機能
DIGIPENに手書きした内容を専用アプリに同期しデジタル化すれば、手書きした過程をリプレイ可能です。
ノートの内容をより強く印象付けることが出来、あなたのアイデア次第で可能性は無限大!
勿論、リプレイシーンはSNSへアップすることでもできるため、インスタグラムやツイッターなどでデザインの過程を公開できちゃいます!


▲「リプレイ機能」紹介gif
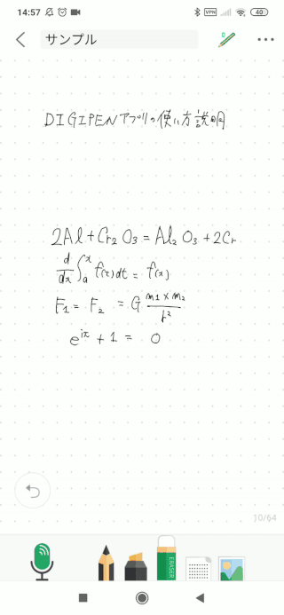
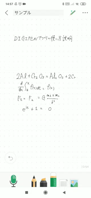
73言語&数式にも対応!
DIGIPEN専用アプリは、現在73の言語を認識し電子テキスト化と翻訳に対応しています。日本語、英語(アメリカ/イギリス)、フランス語、ドイツ語、中国語(簡体/香港/台湾)等!

文章の翻訳だけではなく、化学反応式や数式も認識する機能も搭載しています。

▼「OCR機能」紹介gif
手書きした化学式や数式を読み取り、電子テキスト化しています。


▼ DIGIPEN 5.0の使い方を詳しく説明しています ▼
✅ リアルタイム同期時の線の種類や色、太さを変更可能
▼ ノート下部にあるボタン部分をタッチしてペンの色や太さを変更します
※色の替え方は2通りあり、アプリの画面上で変更、または紙面下部のボタンをペンでタッチしても変更できます。

①ノートで変更する
▼ ノート下部のボタンをタッチして文字の色を変えています。

➁アプリから変更する
▼ アプリから色を選び線の色を変更しています。

▼アプリのペンを選び太さを変更しています。
✅ ノート上に画像の貼り付け+書き込みが可能!
スマホやタブレットで撮影した画像or保存されている画像を選択し、ノート内に貼り付け可能です!その上にペンでコメントを描くこともできるため、活用の幅が広がります。
▼「画像貼り付け機能」紹介gifスマホ内の任意の画像をノートに貼り付け、コメントを追記しています

✅ SNSやメール等、他アプリでのシェアも簡単PDFや画像保存(JPEG)にも対応

※お使いのスマホ環境によりますが、他にも多数のシェア可能なアプリがあります。Facebook、WhatsApp、Instagram、Twitter、および電子メールで友人や同僚とメモやアイデアをすばやく共有可能です
▼「共有機能」紹介gif
保存したノートの内容を簡単に様々な形式でシェアできます

キャップを外すだけでアプリと接続
DIGIPEN 5.0は、キャップを外すと電源オン&アプリと接続。Bluetooth5.0(省エネ)テクノロジーを使用しているため、充電が長持ちします。

▲「電源ON」紹介gif


対面でもリモート会議でも、リアルタイムで内容をデジタル保存すれば、会議終了後にすぐ議事録を展開できます。
仕事効率UPで職場で一目置かれる事間違いなし!










今後、todoリストの管理などができる「アジェンダノート」の発売を予定しています!(DIGIPEN5.0対応)業務効率化、タスク整理などに役立つこと間違いなし!
▼ アジェンダノート

▼ アプリ画面

支援者の皆さまから支援いただいた資金は、次の用途で大切に活用させていただきます。
・商品仕入資金、輸送、支援者の皆さまへの配送費用
・商品パッケージ等の制作費用
・DIGIPEN5.0をより多くの方に知っていただくためのプロモーション費用
・メーカーの優れた商品を日本市場にご紹介するのに必要なマーケティング費用
・新商品の開発費用などに使わせていただきます。
皆さまからの支援を力に変え、より良く楽しい商品を送り出せるような体制作りとして役立たせていただきます。
ぜひ支援をよろしくお願いいたします。

① 仕事効率化に役立つ電子文房具を普及させたい。
手書きでまとめた議事録を2〜3時間かけてパソコンで打ち直す業務は誰しも経験したことがあると思います。何の生産性もなく、非常に勿体ない時間。コロナ禍で世間の働き方改革が叫ばれる中、少しでも皆さんの生産性向上に貢献したいと思い、即座に議事録化の機能を追加しました。

②「紙」への書き味を大切にしながら、テレワーク時代に役立つ電子文具を普及させたい。
私達は普段パソコンを使って最新の商品を開発していますが、まだまだ「紙」に書かなければならない仕事は多数存在します。
パソコンやタブレットの書き心地と「紙」への書き心地は全く異なり、「紙」に書くことでしか生まれない脳への良い刺激は、インスピレーションを産む原動力です。我々は、この「紙」の書き味を大事にしたいと思い、本プロジェクトを立ち上げました。

③ 調達した資金の一部は、日本市場に合わせたより良い機能開発に使用させて頂きます。
単に商品を販売するだけではなく、更に良い商品を開発して皆様にお届けしたいため、本プロジェクトを通じて受け取ったサポーターの皆様のリターンに対するご意見、ご要望を真摯に受け止め、更なるアプリやノートの機能、UI、デザインの改善を計画しています。サポーターの皆様には一生愛用できる製品として長期に渡って使って頂きたく、より良い製品となるよう全力を注ぎます。つきましては、本プロジェクト終了後、製品の使用感のアンケート調査にご協力頂けますと幸いです。
今までのサポーターの皆様の声に基づき、アプリの改善やOCR精度を改善していきました。今後もより良い商品開発のために努めて参りたいと思います。

④ 本プロジェクトを通じ、より高品質なノートを生産できるように努め、今後のSDGsに貢献したいと思います。


メーカー名:Shenzhen NY Technology Co., Ltd
事業内容:文房具
所在地 :深圳市、中国
設立年:2012年
製造実績:12年
NEWYESは現在、経験豊富でプロフェッショナルな研究開発チームを擁しており、液晶ディスプレイやポリマー材料に関する専門知識と最新の知識を駆使し、高品質な製品と、販売前および販売後の様々なサービスを含む包括的なソリューションをお客様に提供しています。また、国内外で強固たる顧客関係を維持しています。
About US - Newyes


弊社BRIGHT DIYはDIYをより簡単に楽しめるようにしたい。
それから、国内のコミュニティをイノベーションを通して豊かにしていきたい。
「DIYのライフスタイル」を仲間に紹介したいと思い、
アイデアを発信しています。

弊社は『こんな商品があったら良いな』を叶えたい。そんな想いで世界の商品の紹介と新しいテクノロジーの開発をしています。ガジェット、工具、IoT製品をメインとして、その他にも世界中のQOL(クオリティーオブライフ)を向上させてくれる商品を提案していきたいと思っています。
今回提案する商品は、以前にプロジェクトを行ったDIGIPENの進化版です。支援者の皆様、その節はありがとうございました。支援者の皆様のお声をもとに、さらに良い商品を開発に努めており、より進化したDIGIPENが完成致しましたので、皆様にご提案させて頂きたく、プロジェクトの立案に至りました。



Q. パソコンで「手書き」する場合、「専用ペン」で色を変えられますか?
A. ペン先の種類や太さ、カラーなどの調整は、ご使用になられるアプリ上での操作となります。
Q. ノートに書いたものをスマートフォンにも保存可能ですか?
A. はい、可能です。スマートフォンのアプリ上で同期した内容を保存することができます。
Q. メモした文字をテキスト化できますか?
A. はい。OCR機能がついており、日本語をはじめ73言語の認識に対応しています。
Q. 専用スマホアプリはどこから入手しますか?
A. 下記、または取扱説明書のQRコードからダウンロードしてください。

※OS:iOS 9.1以上またはAndroid 5.0以上
Q. 専用スマホアプリは有料ですか?
A. 無料です。また、アプリの動作環境、対応OSはiOS 9.1以上またはAndroid 5.0以上です。
Q. 専用スマホアプリは日本語に対応していますか?
A. はい、対応しています。
Q. 消しゴム機能はありますか?
A. アプリ上に「消しゴム」機能があります。このアイコンを選択することでデジタル化した内容の部分消去や全消去が可能になります。
Q. 本体に保存された記入内容を、本体側で確認することが出来ますか?
A. いいえ、できません。本体に保存した内容はスマホと接続して初めて、スマホで確認できる仕様です。
Q. 専用ボールペン"DIGIPEN"の代わりに他のボールペンで『E-Note』に書けますか?
A. ノートに書き込むことは出来ますが、専用ボールペン"DIGIPEN"以外ではスマホアプリと連動いたしません。(デジタル化できません)
Q. 市販のノートは使用出来ますか?
A. 不可です。DIGIPEN内蔵カメラは専用E-Noteのみ認識する仕様です。(ページにペン位置特定用の特殊加工が施されているため)。また、E-NOTEは今後弊社のECサイトや楽天ストアでも購入できます。※DIGIPEN 5.0はDIGIPEN1.0~3.0に付属のB-NOTE、B-Padにも対応しております。
Q. 専用ボールペン"DIGIPEN"の「替芯」だけ購入できますか?
A. 弊社ECサイトでの一般販売時に、「替芯セット」として市販予定です。
弊社ECサイトhttps://www.brightdiy.jp/
▼こちらのリンクからLINEの登録をしてお知らせを受け取りください。▼
Q. 手持ちのUSBケーブルは使えますか?
A. はい。USB Type-Cケーブルでしたら本体充電用にお使いいただけます。
Q. 説明書はついていますか?
A. はい。日本語取扱説明書兼製品保証書が同封されております。
Q. 故障した場合はどうなりますか?
A. 製品保証が1年間付いております。(代理店保証)ご心配ございません。保証期間内に通常使用により故障した場合には、無償で修理・交換の対応をさせていただきます。(明らかな故意や過失が見受けられる場合には対応しかねる場合がございますことをご了承ください)また、並行輸入等、弊社以外からお求めの場合は保証対応は出来かねます。
Q. PSEなどは対応済みでしょうか?
A. 搭載バッテリーのエネルギー密度は400Wh/L以下のため、PSE申請は取得不要です。
Q. 以前のDIGIPEN 1.0〜3.0は今回のノートを使用できますか?
A. 以前のDIGIPEN 1.0〜3.0は今回のノートを使用できないのでご注意ください。

支援頂いた支援者の皆様に長期間製品をご愛用頂けるよう、DIGIPENの替え芯や追加のE-Noteについてはプロジェクト終了後もBRIGHTDIY楽天ストアや自社ECサイトから購入できる体制を整えています。
BRIGHT DIYストア:https://www.brightdiy.jp/
※楽天ストアについては、支援頂いた方にメールでリンクをご連絡いたします。
リスク&チャレンジ
プロジェクトに関する情報
・プロジェクトの属性・・・・・・輸入商品
・代理店による支援・・・・・・・6ヶ月間の品質保証、日本語カスタマー対応
・プロジェクト実行者(国)・・・日本
・製品者(国)・・・・・・・・・中国
・製造者(国)・・・・・・・・・中国
※使用感などに関しては、感じ方に個人差が予想される製品でございます。そのため、使用感等に関する返品・返金はお受けいたしかねます。
※初期不良以外に関する返品・返金はお受けいたしかねます。
※開発中の製品のため、デザイン・カラー・素材などの仕様が一部変更になる可能性がございます。
※この商品は量産済みではありますが、製品改良などの必要な仕様の変更が発生する可能性があります。
※モニター環境によって、画像の色が実物と異なって見える場合がございます。
※支援の数が想定を上回った場合、製造工程上の都合等により出荷時期が遅れる場合がございます。
※想定を上回る皆様から支援を頂き、量産体制を更に充実させることができた場合、一般販売価格が予定価格を下回る可能性がございます。
※並行輸入品が発生する可能性があります。正規以外での個人輸入等は、完全に防ぐことができない場合がございます旨、予めご了承のほどお願いいたします。
※並行輸入品は正規代理店による製品保証を受けることができません。 また、正規代理店を通じて購入することで、日本国内での流通に必要な各種認証の取得や、関税の適切な処理が担保されます。
※本文中に記載させていただいたスケジュールは、あくまでプロジェクト公開時点の予定です。クラウドファンディングを経て輸入を行う性質上、配送遅延のおそれがございます。
※原則として、配送遅延に伴う支援のキャンセルはできませんが、リターン配送予定月から6ヶ月を超えた場合には、希望者に限りキャンセルにて対応させていただきます。
※一部国内に類似商品が出回っている場合がございます。弊社では他社の類似品に関してのお問い合わせには対応出来ませんのでご了承ください。
クラウドファンディングを経て輸入を行う性質上、以上の注意点につきましてあらかじめご理解とご了承いただいた上で支援くださいますよう、よろしくお願い申し上げます。最後に、本製品を手に取った皆様に喜んでもらえるよう、 チームメンバー一同心を込めて対応していきますので、 支援よろしくお願い致します。
■ 特定商取引法に関する記載
●販売事業者名: 株式会社BRIGHT DIY
●代表者または通信販売に関する業務の責任者の氏名:ニュエン ティエン レイ
●事業者の住所/所在地:〒332-0015 埼玉県川口市川口3-2-6リプレ川口803号
●事業者の連絡先:Tel: 050-8882-9306/ Mail: support@brightdiy.jp
●リターン価格:各リターン記載の通り *商品内容についてはリターン欄記載の通り
※リターン価格とは別にCAMPFIRE(machi-ya)のシステム利用料として、支援金額1万円未満の場合は250円(税込)/ 1万円以上の場合は支援額の2.5%(税込)が支援者様の負担となります。
※上記システム利用料はCAMPFIREが受け取るもので、当社が受領するものではございません。
●送料:送料込み
●対価以外に必要な費用:プロジェクトページ、リターンに記載のとおり。
●支払い方法:CAMPFIREの決済手段に準ずる (詳細はこちら)
●支払い時期:当プロジェクトは「All-in型」の為、目標達成の如何に問わず、ご契約が成立しリターンをお届けします。その為、お申込みと同時にご利用の決済方法に準じてご請求となります。
●引渡し時期: 各リターン詳細に記載の発送予定月を引き渡し時期とします。但し、開発・生産状況によって遅れが生じる場合がありますのでその際は当プロジェクトページ内の「活動報告」または購入者へのメール等で連絡します。
●キャンセル・返品: 当プロジェクトは「All-in型」の為、お申込み完了をもって契約が成立いたします。その為、お客様都合による返品・キャンセルはできませんのでご注意ください。尚、製品到着後に破損や初期不良がある場合には交換させていただきますので「メッセージで意見や問い合わせを送る」から、または納品書記載の連絡先までお問い合わせください。
●その他記載事項:プロジェクトページ、リターン記載欄、共通記載欄(https://camp-fire.jp/legal)をご確認ください。
※上記以外の事項に関しては、請求があり次第遅延なく提供しますので、必要な方はメッセージ機能にてご連絡ください。
最後に、本製品を手に取った皆様に喜んでもらえるよう、 チームメンバー一同心を込めて対応していきますので、 支援よろしくお願い致します。
最新の活動報告
もっと見る
【新プロジェクト】HOZO NeoBladeの魅力をご紹介!【お気に入り登録をお忘れなく!】
2026/02/15 21:00\HOZO NeoBlade紹介/こんばんは、BRIGHT DIYです。今回は皆さまに「超音波4万回×40Wの圧倒的切断力。6種ブレードで複雑な曲線も硬質素材もスムーズにカットできる次世代コードレスカッター。183gの軽量設計でどこでもプロ級の仕上がりを実現」プロジェクトを紹介させて頂きます。プレビューページをお気に入り登録して公開をお待ちください! 力いらず・切断面きれい・失敗しにくい。工作のストレスが消える超音波カッター最大割引は39%OFF!高割引率は数量限定です!ここだけの限定割引を見逃さないよう、ぜひお気に入り登録して公開をお待ちください!お気に入り登録することで公開されたらメールでお知らせいたします!プレビューページはこちら >>> https://camp-fire.jp/projects/905374/view ※早期リターンは在庫がなくなり次第終了となります。プレビューページはこちら >>> https://camp-fire.jp/projects/905374/view 今後とも、何卒よろしくお願い致します。BRIGHTチーム もっと見る
★PJ 開始★特許出願技術!精密作業から家具組立作業までこれ1セットで対応!手動・電動対応の最強ツールセット!【最大43%OFF】
2026/01/16 12:00みなさん、こんにちは。BRIGHT DIYです。本日は皆さまに新しいプロジェクトを紹介させていただきます。最大43%OFF!!!さらに、公開日より期間限定で使える5%OFFクーポンを発行させて頂きました。━━━━━━━━━━━━━━━━━━クーポンURL:https://camp-fire.jp/projects/911115/view?ctoken=YGAtQYJd9jTOLOT5クーポンは1月16日~1月22日限定でご使用頂けます。━━━━━━━━━━━━━━━━━特許出願技術!精密作業から家具組立作業までこれ1セットで対応!手動・電動対応の最強ツールセット!プロジェクト概要キャンペーン期間 2026年1月16日~2026年2月28日プラットフォーム machi-yaキャンペーンURL https://camp-fire.jp/projects/911115/view※プロジェクト公開後から閲覧可能になります。2026年1月16日 12時からプロジェクト公開となります。数に限りがございますので、早い者勝ちです!!! 1点のリターンの場合、先着35名様のみ43%OFFとなります! もっと見る
【新プロジェクト】Pendora Tool Setの魅力をご紹介!【お気に入り登録をお忘れなく!】
2026/01/13 21:00\Pendora Tool Set紹介/こんばんは、BRIGHT DIYです。今回は皆さまに「2種のビットサイズ対応!高機能ドライバーと充実の超豪華な付属セット【PENDORA TOOL SET】スタイリッシュなPENDORAシリーズに登場」プロジェクトを紹介させて頂きます。プレビューページをお気に入り登録して公開をお待ちください! 2種のビットサイズ対応!高機能ドライバーと充実の超豪華な付属セット最大割引は43%OFF!高割引率は数量限定です!ここだけの限定割引を見逃さないよう、ぜひお気に入り登録して公開をお待ちください!お気に入り登録することで公開されたらメールでお知らせいたします!プレビューページはこちら >>> https://camp-fire.jp/projects/911115/view >>> クーポンのURLはこちら <<<※公開日からクーポンリンクが使用できます。※早期リターンは在庫がなくなり次第終了となります。プレビューページはこちら >>> https://camp-fire.jp/projects/911115/view 今後とも、何卒よろしくお願い致します。BRIGHTチーム もっと見る







コメント
もっと見る