光のヤングの実験に関する予習を行いました。波動の分野はすでに履修済みであったので、回折角などの固有の言葉とその定義から求め方を取り組みました。波動の分野を履修していた分、取り組みやすいものの角度の近似などで混合するところも多いので予習が大切だと思いました。
ベータ崩壊について事実と考察に分けて解説をしました。事実としてベータ崩壊では、・質量数が前後で変化しない・原子番号が1つ上がるという事実から考察すると、1つの中性子から陽子1つと電気的平衡を保つため電子1個が発現するのではないか?という点で議論しました。その他、半減期の微分方程式を高校の範囲外ではありますが、数3の積分の知識をこの朝活で予習できていたので、一緒に解きました。学問は特に数学は他の学問と繋がっているので学習の進捗が重要だと改めて思った次第。
高校の数学で円の接線の求め方には3種類あると紹介されています。与えられた条件から最適な方法を選ぶことでより速く、的確に解くことができるというのが狙いです。本日はその中でも、図の3番目に当たる円の文字式の片っぽだけに接点の座標を代入するだけで接線の方程式に生まれ変わるという最強装備について解説しました。この武器は理解して味方につければ頼りになるが、あやふやな状態で使うとかえって間違ってしまいます。簡単な理由から導かれているので、こういう考え方から成り立っているんだという部分から導かせてあげることができました。
赤,青,緑の3色のカードに番号が1,2,3とさらに3種類書かれた、9枚のカードがある。9枚の中からカードを3枚同時に取り出す時、色も数字も被らない枚数がk枚のとき、その確率をP(k)とする。P(0),P(1),P(2),P(3)の確率を求めなさい。という問題です。場合分けと互いに背反な事象であるかを理解しているか、整理できているかが争点で、余事象をうまく使って計算スピードを上げるコツを教えました。
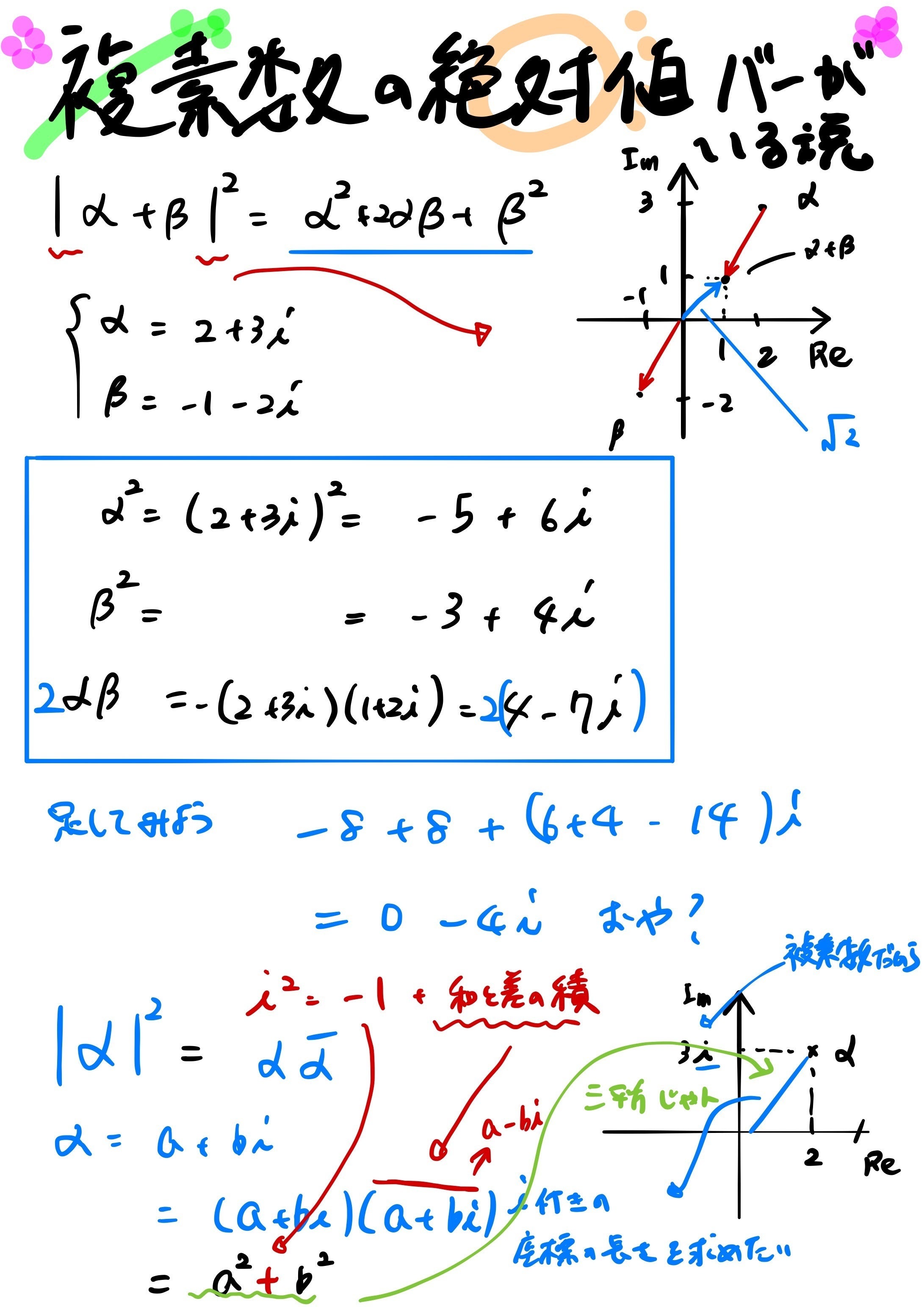
複素数の絶対値はなぜバーをつけるのかという点について解説しました。中学から行っていた実数空間での展開と展開のルールが異なるので、疑問に思う学生も多い中、質問までは至らずなんとなくそうゆう理由として理解してしまう学生が多い模様。今回の質問でみんなが疑問に思っていたところを聞いてくれました。ありがとう!





